锁相放大器OE1022应用在二维铁磁自旋相关性的测量
在2023年的这项突破性研究中,重庆大学柴一晟与孙阳团队巧妙地利用了赛恩科仪(Sine Scientific Instruments)OE1022数字锁相放大器卓越的信号处理能力,成功揭示了准二维磁性材料中微妙的自旋关联特性。
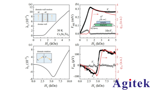
实验的核心挑战在于探测居里温度附近极其微弱的磁电信号。为了应对这一挑战,研究团队构建了一套高灵敏度的复合磁电测量系统。该系统将Cr₂Ge₂Te₆(CGT)和Cr₂Si₂Te₆(CST)等准二维铁磁样品粘贴在PMN-PT压电单晶上,利用Helmholtz线圈施加微弱的交流磁场(Hac = 1 Oe)。当样品发生磁致伸缩时,会通过应变耦合诱导压电层产生相应的电信号。正是在这一环节,OE1022锁相放大器成为了捕捉“真相”的关键之眼。
OE1022之所以能胜任这一高难度任务,得益于其出色的硬件参数与功能设计。首先,其超低输入噪声(< 5 nV/√Hz)和高动态储备(> 120 dB),使其能够从复杂的背景噪声中精准提取出由自旋涨落引发的纳伏级(nV)微弱响应信号。其次,该仪器具备双通道独立输入,能够同步采集磁电信号的同相分量(V′)和反相分量(V″),这对于精确解析材料在相变点附近的能量耗散与存储特性至关重要。
在具体操作中,研究人员利用OE1022的高精度解调功能,配合外部参考信号模式,实现了与交流磁场源的完美同步。其1 mHz至102 kHz的宽频响应范围完美覆盖了实验所需的频率窗口。此外,OE1022配备的5.6英寸TFT彩色显示屏和直观的软件界面,使得科研人员能够实时监控X、Y、R、θ等多维数据,无论是以数字、条形图还是坐标图的形式,都能清晰地展示信号在临界点附近的动态变化。

通过这套精密的测量系统,团队成功观测到了铁磁材料Cr₂Ge₂Te₆和Cr₂Si₂Te₆在居里温度附近的“三重点”。在这一点上,OE1022记录到的磁电信号出现了异常的显著增强,直接证实了此处铁磁自旋-自旋相关性的大幅提高。相比之下,在反铁磁材料MnBi₂Te₄的测量中,该系统同样表现出色,清晰地揭示了其在Néel温度以上缺乏短程自旋相关性的特征。
综上所述,这项研究不仅深化了我们对二维磁性材料临界现象的理解,也充分展示了赛恩科仪OE1022锁相放大器作为一款高性能国产科学仪器,在前沿基础科研领域中的强大支撑能力。其优异的稳定性、高灵敏度和灵活的多参数显示功能,为探索低维量子材料的未知特性提供了坚实的技术保障。
技术支持














关注官方微信
