同惠TH300E助力肖特基二极管C-V特性精准测试
在半导体器件原理、半导体材料基础及电子薄膜材料与器件等核心课程中,肖特基二极管的C-V特性测试是理解器件物理特性、掌握半导体材料掺杂浓度计算的关键实验环节。
肖特基二极管(SBD)也被称为肖特基势垒二极管,是一种具有低正向压降,高反向击穿电压,和快速开关速度的特殊二极管,它在高频、低压和大电流电路中表现出色,广泛应用于整流、检波、开关及高频信号放大等领域。
然而,传统实验设备存在以下痛点:
1、功能单一:仅能完成基础电容测量,无法满足多参数综合分析需求;
2、操作复杂:需要手动调节偏置电压、频率等参数,实验效率低下;
3、数据精度低:受限于设备性能,高频信号测量误差大,影响教学结果;
4、教学配套弱:缺乏与课程理论结合的实验指导资源。
TH300E集成电路教学实验平台
同惠电子深耕测量测试领域多年,依托微电子/半导体领域技术积累,推出TH300E集成电路教学实验平台,针对上述痛点提供全流程解决方案:
核心功能优势
1、CV特性专项测试模块:集成TH510系列半导体器件C-V特性分析仪,实时显示C-V曲线;
2、多课程实验覆盖:适配《半导体器件原理》《固体物理基础》等课程需求,支持MOSFET、PN结、电阻式传感器等器件测试;
3、智能化教学平台:图形化操作界面,支持实验参数自动配置。
一、实验目的
(一)了解肖特基二极管的构造
肖特基二极管是贵金属(金、银、铝、铂等)作为正极,以 N 型半导体为负极,利用两者接触面上形成的势垒具有整流特性而制成的金属-半导体器件。
构造:以重掺杂的 N+为衬底,厚度为几十微米,外延生长零点几微米厚的 N型本征半导体作为工作层,在其上面再形成零点几微米的二氧化硅绝缘层,光刻并腐蚀直径为零点几或几十微米的小洞,再用金属点接触压接一根金属丝或在面接触中淀积一层金属和 N 型半导体形成金属半导体结,在该点上镀金形成正极,给另一面 N+层镀金形成负极,即可完成管芯,如图 1-1 所示。

图 1-1 肖特基二极管结构图
(二)肖特基势垒的形成原理
①功函数与电子亲和能金属的功函WM
金属的功函数表示一个起始能量等于费米能级的电子,由金属内部溢出到表面外的真空中所需的最小能量,功函数的大小标志电子在金属中被束缚的强弱。如图 1-2(a)所示。
WM = E0 − (EF)m E0为真空中电子的能量,又称为真空能级。

1-2 a)金属功函数 (b)半导体功函数半导体的功函数 WS
E0与费米能级之差称为半导体的功函数如图1-2(b)所示。WS = E0− (EF)S和金属不同,半导体的费米能级随掺杂类型和掺杂浓度而变化,所以WS也与杂质类型和杂质浓度有关。
定义真空能级E0和导带底能量EC的能量差为电子亲合能,用χ表示,即X=E0-EC,电子亲合能表示使半导体导带底的电子溢出体外所需的最小能量。
②肖特基势垒结的形成
功函数不同的两种晶体形成接触时,由于费米能级EF不在同一水平上,将有电子自EF较高一侧的表面流向对方表面,在两侧晶体的表面形成电荷层,从而在两者之间形成电势差,直到费米能级达到同一水平时,将不再有电子流流动。这时在两者之间形成的电势差称为接触电势差。接触电势差正好补偿两者费米能级之差。
假定有一块金属和一块 n 型半导体,并假定金属的功函数大于半导体的功函数,即:Wm>WS。由于它们有相同的真空能级,所以在接触前,半导体的费米能级EFS高于金属的费米能级EFm,且EFS − EFm = Wm − Ws,如图 1-3(a)所示。

图 1-3(a)金半接触前能级 (b)金半接触后能级变化
当金属和 N 型半导体接触时,由于半导体的费米能级高于金属中的费米能级,电子流从半导体一侧向金属一侧扩散,同时也存在金属中的少数能量大的电子跳到半导体中的热电子发射;显然,扩散运动占据明显优势,于是界面上的金属形成电子堆积,在半导体中出现带正电的耗尽层,如图 1-3(b)所示。界面上形成由半导体指向金属的内建电场,它是阻止电子向金属一侧扩散的,而对热电子发射则没有影响。随着扩散过程的继续,内建电场增强,扩散运动削弱。在某一6耗尽层厚度下,扩散和热电子发射处于平衡状态。宏观上耗尽层稳定,两边的电子数也稳定。界面上就形成一个对半导体一侧电子的稳定高度势垒:∅S=(Wm-Ws)/q
它和耗尽层厚度有如下关系:∅S =(eNDW2D)/ 2ɛ,其中ND为 N 的掺杂浓度,在势垒区,WD为耗尽层宽度。电子浓度比体内小的多,是一个高阻区域,称为阻挡层,界面处的势垒通常称为肖特基势垒。耗尽层和电子堆积区域称为金属-半导体结。
③肖特基二极管的整流特性
如果给金属-半导体结加上偏压,则根据偏压方向不同,其导电特性也不同。
零偏压:保持前述势垒状态,如图 1-4(a)所示。
正偏:金属一侧接正极,半导体一侧接负极,如图 1-4(b)所示。
外加电场与内建电场方向相反,内建电场被削弱,耗尽层变薄,肖特基势垒高度降低,使扩散运动增强,半导体一侧的电子大量的源源不断的流向金属一侧造成与偏压方向一致的电流,金属-半导体结呈正向导电特性,且外加电压越大,导电性越好,其关系为:
∅s − VD=(eNDW2+)/2ɛ
反偏:金属一侧接负极,半导体一侧接正极,如图 1-4(c)所示。外加电场与内建电场方向一致,耗尽层变厚,扩散趋势削弱,热电子发射占优势,但这部分电子数量较少,不会使发射电流增大。在反偏电压的规定范围内,只有很小的反向电流。在反偏情况下,肖特基势垒呈大电阻特性。反偏电压过大时,则导致反向击穿。
图 1-4 肖特基二极管在不同偏压下的情况
肖特基二极管与 PN 结二极管具有类似的整流特性,硅肖特基二极管的反向饱和电流比典型的 PN 结二极管的反向饱和电流大 103~108倍,如图 1-5 所示,7具体的数值取决于肖特基势垒高度。较小的肖特基势垒高度导致反向饱和电流较大,较大的反向饱和电流意味着产生相同的正向电流,肖特基二极管的正向导通电压较小,这个特性使得肖特基二极管更适合应用于低压以及大电流领域。

图 1-5 肖特基二极管伏安特性曲线
④势垒电容
耗尽层的厚度随外加电压的变化直接反映着耗尽层具有一定的电容。耗尽层的两个界面可以看作平行板电容器的两个面板,假如半导体内杂质浓度是均匀的且不存在氧化层,则在耗尽层的区域内,其电容为:

式中,A 为结面积,ND为 N 型半导体外延层施主浓度,VD为自建电压,VR为外加电压。

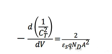
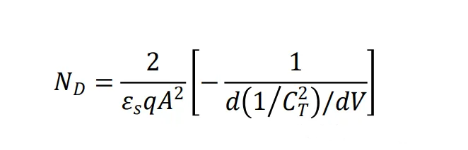
如果半导体均匀掺杂,则1/(C2T)-V为一条直线,通过直线的斜率可求得半导体的掺杂浓度为:

将实验测得的1/(C2T)-V直线外推至1/(C2T)= 0 处,得到截距VD。
二、学习半导体参数提取技巧
针对高校实验室建设需求,TH300E提供以下配置方案:

1、实验步骤:
(1)将测试夹具(TH26011D)与 LCR 表(TH511)四端测试端连接。
(2) 直流电源(TH6412)的 CH1 的正极连接夹具的正极,负极连接夹具的负极。
(3) 夹具的 High 端连接肖特基二极管的阴极 (以 VS-72CPQ030 为例),Low 端连接二极管的阳极。
(4) 开启测试软件
(5) 在上位机软件中选择本实验测试项目(肖特基势垒特性及杂质的测量),选择产品类型。
(6) 点击测试开始,测试结束后,软件上会显示测试数据。

图 1-6 肖特基势垒特性及杂质的测量实验原理图
未来,同惠电子将继续以产学研深度融合为基石,将前沿测试技术转化为教学工具,为微电子与半导体领域的人才培养注入创新动能。
技术支持















关注官方微信
