功率分析仪PW8001 调速电机的损耗分离和效率MAP图制作
电动汽车的电机需实现从低速到高速的高效输出。因此,通过改变电机的转速和扭矩,绘制可展示在不同参数条件下效率表现的效率 MAP 图就极为重要。
在本应用案例中,我们将为大家介绍基于永磁同步电机 (PMSM) 效率测试值制成的效率 MAP 图。
逆变器输出和电机输出、损耗之间的关系

当逆变器向电机提供电压时,电流流过电机绕组在定子中产生磁通量,磁通量产生的磁场使转子旋转。由于 PMSM 与逆变器输出电压的基波同步旋转,因此电机的输出中会含基波分量。另外,基波分量的一部分会作为电机的铁损和铜损被消耗。另一方面,基波的谐波分量以及开关频率等高频分量则会成为损耗。
电机效率的测量

使用功率分析仪测量电机系统时,除逆变器的总输出外,还可单独测量基波输出。此外,可以通过测量电机的扭矩和 转速来测量电机的输出。功率分析仪搭载了在这些值的基础上内部运算效率及损耗的功能。因此,可轻松收集生成效率 MAP 图所需的测量数据。

损耗分离 :铜损和铁损
为了提高电机的效率,有必要将铜损和铁损分开,并确定各自的损耗。铜损是由于绕组电阻引起的损耗。铁损包括涡 流损耗和磁滞损耗,受磁场和频率影响。功率分析仪可以分离这些损耗,并绘制在不同条件下损耗的 MAP 图。
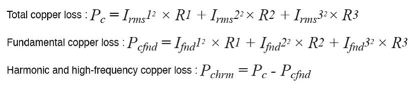
铜损的计算
电机铜损是指流过电机绕组的电流在导线电阻上产生的损耗。因此,可以通过事先测量电机的导线电阻,再结合功率分析仪测到的电流(lrms) 求出铜损。

在功率分析仪中,由于也会测量基波电流 (Ifnd),因此不仅可以计算所有铜损 (Pc),还能计算基波铜损 (Pcfnd)。 假设电机各相的绕组电阻值为 R1、R2、R3,则各自的铜损可通过以下公式计算。需要注意的是,总铜损 (Pc) 与基波铜损 (Pcfnd) 的差值即为谐波和高频分量引起的铜损 (Pchrm)。
功率分析仪具有称为“用户定义函数(UDF)”的功能,因此通过定义公式可以在获取测量值的同时计算铜损。
铁损的计算
铁损可从之前获得的输出和损耗中计算得出。

分离机械损耗测量较为困难,且通常其占比也小,因此在本资料中将其包含在铁损内。
生成效率 MAP 图
电机的输出由扭矩和转速决定。对于电动汽车等需要在广泛范围的转速和扭矩下运行的电机而言,掌握不同动作条件 下铜损和铁损的分布情况对设计的改进至关重要。因此,制作以动作条件为坐标的效率与损耗 MAP 图 ( 包括总损耗、铜损、 铁损 ),可为逆变器和电机的设计提供重要参考。
效率 MAP 图生成示例
根据获得的数据,使用 MATLAB* 生成效率 MAP 图。
*MATLAB 是由 MathWorks 公司开发的软件产品

生成高精度电机效率 MAP 图
如上所述,电机的效率和损耗可以由逆变器和电机的输出得出。然而,由于以下原因,高精度测量电机的效率和损耗有一定难度。
· 逆变器输出由 PWM 调制而成,其中含有开关频率及其谐波分量,因此需要宽频带的功率测量。
· 逆变器的谐波功率为低功率因数,测量仪器的相位误差一旦较大就无法正确测量谐波功率。 · 电机要在低速至高速的广泛范围内运转,因此需要在整个动作范围进行高精度测量。
· 电机要在低速至高速的广泛范围内运转,因此需要在整个动作范围进行高精度测量。
PW8001 覆盖了从 DC 到 5 MHz 的宽频率带宽,基本测量精度为 0.03%。此外,使用精度高的电流传感器可进行大电流测量,通过电流传感器的相位补偿功能,即使是低功率因数也能实现高精度测量。

结语
本应用案例基于功率效率和损耗的相关理论,介绍了 PWM 法驱动 PMSM 的测量,将损耗分为铜损和铁损的方法以 及效率与损耗 MAP 图的生成。并且对于在电机研发与设计过程中,针对电机效率改善的实践性测量、计算方法及如何运 用 HIOKI 的 PW8001 和电流传感器解决测量上的课题进行了介绍。
技术支持















关注官方微信
